超强激光科学卓越创新简报
(第七百五十五期)
2026年3月6日
上海光机所在研制稳定可靠的紧凑型自由电子激光器方面取得进展
近日,中国科学院上海光学精密机械研究所超强激光科学与技术全国重点实验室研究团队,在基于激光尾场加速器驱动的自由电子激光器鲁棒性优化方面取得进展,相关成果以“Robustness optimization for compact free-electron laser driven by laser wakefield accelerators”为题,发表于Physical Review Research。
自由电子激光(Free Electron Laser, FEL)能够产生超高亮度、波长相干的辐射,是探索微观世界奥秘的强大工具。然而,传统FEL设施依赖于大型射频加速器,体积庞大、造价高昂,限制了其广泛应用。激光尾场加速器(Laser Wakefield Acceleration, LWFA)以其极高的加速梯度,为研制桌面型、经济型的紧凑FEL提供了革命性方案。近年来,LWFA驱动的FEL虽已实验成功,但其固有的shot-to-shot(发次)不稳定性,成为实现稳定、可靠运行的主要障碍。
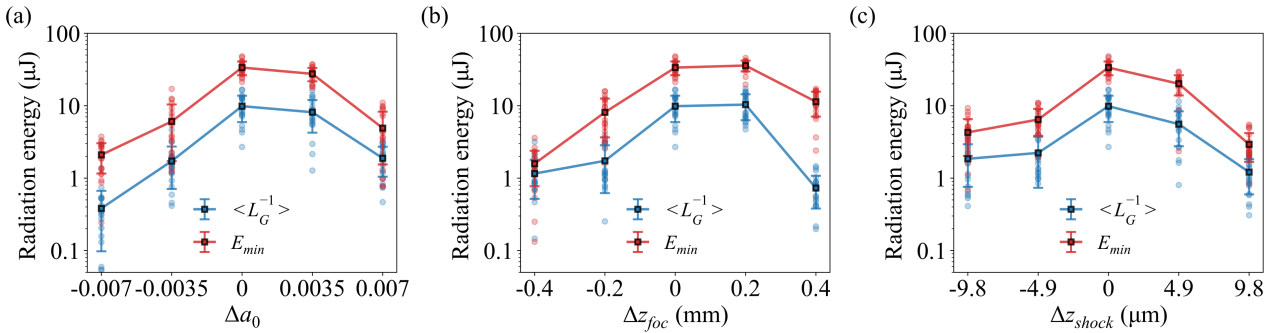
近期,团队采取了一套系统性的优化策略。首先利用粒子模拟(Particle In Cell, PIC)定量分析了在三种典型抖动影响下,电子束参数的变化范围和关联性。通过引入“协方差矩阵自适应进化策略”(CMA-ES)的优化算法,对从加速器到波荡器的整个束线进行了长达数千次的虚拟调试。经过优化后,即使考虑两倍均方根幅度的参数抖动,FEL在约25纳米波长的极紫外波段输出能量仍能稳定维持在1 μJ以上,对应每脉冲超过1×10¹¹个光子。进一步分析表明,该优化方案对电子束的指向抖动也具有显著的容忍度,即使在1毫弧度的指向偏差下,辐射能量依然能保持在1μJ的水平。这项研究不仅为LWFA-FEL的鲁棒性设计提供了清晰的技术路径,更标志着紧凑型FEL正从原理验证迈向实用化、可靠化的关键一步。
相关工作得到了国家自然科学基金、中国科学院先导专项(B类)、中国科学院基础研究领域青年科学家项目、中国科学院青年创新促进会及新基石科学基金会设立的科学探索奖的支持。

图1:优化后的FEL辐射能量,电子束在(a)激光能量抖动,(b)激光焦点位置抖动和(c)激波位置抖动条件下的FEL辐射能量。

图2:电子束指向抖动下的FEL能量。